|
Thiết Bị: |
Mi150 Xuất xứ: Hungari |
|
Thông số kỹ thuật |
Máy đo
pH/Nhiệt độ để bàn điện tử
hiện số Model:
Mi150 / Hăng sản xuất: MARTINI - Hungari - Khoảng đo pH: -2.00...+16.00.
Độ chính xác: + 0.01 - Khoảng đo nhiệt
độ: -20.0...+120.0oC. Độ chính xác: + 0.4oC - Hiệu chuẩn tự động 1 hoặc 2
điểm với bộ nhớ 7 giá trị dung dịch
pH 1.68, 4.01, 6.86, 7.01, 9.18, 10.01, 12.5 - Kích thước: 230 x 160 x 95 mm. Trọng
lượng: 1.3 kg - Điện AC Adapter 230V Cung cấp bao gồm: + Máy đo pH/nhiệt độ để bàn model
Mi150 + Điện cực đo pH thân bằng thủy tinh
model MA917B/1 và điện cực đo nhiệt độ
bằng thép không gỉ model MA831R + Dung dịch chuẩn, giá đỡ điện
cực, 12VDC Adapter |
|
Ưu
điểm |
Phù hợp tiêu
chuẩn quốc tế Đầu đo
nhiệt độ ổn định bền bỉ Dải đo
rộng Độ chính
xác cao + 0.01 Đo
được cả PH và Nhiệt độ |
|
Nhược
điểm: |
Kích thước lớn Chỉ đo được
tại 1 vị trí tại 1 thời điểm |
Ngoài các thiết
bị trên, c̣n có 1 số thiết bị khác trong
nước sản xuất nhưng chất lượng kém
hơn. Hầu hết chúng đều được
thiết kế với mục đích đo nhiệt
độ tại 1 điểm nào đó tại 1 thời
điểm cụ thể. Thông tin nhiệt độ
lấy được chỉ nhằm mục đích
lấy thông số nhiệt độ và phân tích theo
phương pháp tây y. Chúng có 1 số hạn chế như
sau:
·
Không đo được đồng thời
nhiệt độ tại các điểm đo của
cơ thể
·
Không xử lư phân tích các nhiệt độ này
mà chỉ đo và hiển thị
·
Dải đo khá lớn, không cần thiết
khi đo nhiệt độ cơ thể bệnh nhân
·
Độ chính xác phụ thuộc nhiều vào
đầu đo, khả năng căn chỉnh thấp
·
Kích thước lớn không phù hợp cho
đo nhiệt độ bệnh nhân
15.2. LuËn gi¶i v̉ viÖc ®Æt ra môc tiªu vµ nh÷ng néi
dung cÇn nghiªn cøu cña ®̉ tµi
(Trªn c¬ së ®¸nh gi¸ t×nh h×nh nghiªn cøu trong níc vµ ngoµi níc,
ph©n tƯch nh÷ng c«ng tr×nh nghiªn cøu că liªn quan, nh÷ng kƠt qu¶ míi nhÊt
trong lÜnh vùc nghiªn cøu ®̉ tµi, ®¸nh gi¸ nh÷ng kh¸c biÖt v̉ tr×nh ®é
KH&CN trong níc vµ thƠ giíi, nh÷ng vÊn ®̉ ®· ®îc gi¶i quyƠt, cÇn nªu râ
nh÷ng vÊn ®̉ cßn tån t¹i, chØ ra nh÷ng h¹n chƠ cô thÓ, tơ ®ă nªu ®îc nh÷ng
híng gi¶i quyƠt míi - luËn gi¶i vµ cô thÓ ho¸ môc tiªu ®Æt ra cña ®̉ tµi vµ
nh÷ng néi dung cÇn thùc hiÖn trong ®̉ tµi ®Ó ®¹t ®îc môc tiªu):
Xây dựng mô h́nh chăm sóc sức
khoẻ nhân dân, đào tạo và nghiên cứu phù hợp
với điều kiện kinh tế - xă hội Việt
nam, nhằm huy động xă hội thực hiện xă
hội hoá y tế đặc biệt là đối với
lĩnh vực chẩn đoán sử dụng lư thuyết
kinh lạc và đo nhiệt độ tự động
dùng thiết bị số.
Để làm được
những điều đó th́ việc có được những
thiết bị, công cụ hỗ trợ cho thầy thuốc
Đông y là việc cần thiết. Nên cần phải có một
loại máy đo có độ chính xác cao, đo được
đồng thời 24 điểm tương ứng với
tạng phủ, có thể đo cho nhiều dạng người
( lớn, bé) khác nhau để làm cơ sở cho chẩn đoán
ban đầu.
Mục
tiêu cụ thể:
- Xây dựng được
thiết bị chẩn đoán các loại bệnh
thường gặp bằng hệ thống thiết
bị hiện đại sử dụng công nghệ FPGA và
Vi điều khiển phục vụ nhu cầu khám
chữa bệnh của nhân dân.
- Xây dựng hệ thống thông
tin trao đổi và lưu trữ các kết quả
chẩn đoán, phục vụ cho các quá tŕnh phân tích, nghiên
cứu và đào tạo.
- Nâng cao hiệu quả
đầu tư và sử dụng thiết bị, kết
hợp tối đa các kiến thức đông y và công
nghệ mới.
- Đưa ra mô h́nh hệ
thống phù hợp cho sự phát triển trong thời gian
tới về thiết bị chẩn đoán và nhân lực.
Sẵn sàng đáp ứng nhu cầu mở rộng quy mô
mở rộng của các trung tâm điều trị,
chẩn đoán và phục hồi chức năng cũng
như nhu cầu khám và điều trị bệnh của
nhân dân.
- Tăng cường năng lực và
hiệu quả chẩn đoán bệnh sử dụng Đông
y và công nghệ thông tin, là tiền đề để xây
dựng các thiết bị cao cấp hơn.
- Đào
tạo và phát triển nguồn nhân lực đáp ứng nhu
cầu sử dụng hệ thống thông tin Đông y
kết hợp công nghệ số.
- Thiết bị
đo nhiệt độ nếu có 25 kênh th́ sẽ có
khả năng đo đồng thời 24 điểm
đo tại các đầu ngón tay và ngón chân (một
đầu dùng để đo nhiệt độ môi
trường) từ đó cho phép đo đạc chính xác
sự sai khác về nhiệt độ của 24
điểm đo nên sẽ cho phép phần mềm
đưa ra được những kết quả
chẩn đoán chính xác hơn.
- Đây chính là một phần nguyên
lư của hệ phương pháp đo và chẩn bệnh
bằng nhiệt độ kinh lạc. Để có thể
đo và chẩn bệnh chính xác, đ̣i hỏi thiết
bị đo nhiệt độ phải đo đồng
thời nhiệt độ tại các điểm kinh
lạc chính, từ đó hệ thống sẽ phân tích,
xử lư và hiệu chuẩn với cơ sở dữ
liệu nhằm đưa ra thông tin về t́nh trạng
sức khoẻ bệnh nhân.
- Để xây dựng
được hệ thống đo này chúng tôi đă áp
dụng một số công nghệ điện tử tiên
tiến hiện nay như công nghệ CPLD/FPGA và
Microcontroller. Khi sử dụng thầy thuốc sẽ dùng
đầu cảm biến nhiệt độ để
đo nhiệt độ tại điểm đầu các
đường kinh trên mười đầu ngón tay và ngón
chân, các thông số về nhiệt độ sẽ
được đưa lên máy tính để phần
mềm chẩn bệnh phân tích.
- Sau một thời gian
được đưa vào ứng dụng trong thực
tế phương pháp chẩn bệnh dựa vào nhiệt
độ điểm đầu các đường kinh
đă mang lại những kết quả rất khả quan
(đă được đánh giá qua 2 đề tài khoa học
ứng dụng thiết bị và hàng trăm cơ sở sử
dụng thiết bị 1 đầu đo ). Dưạ vào
những kết quả đă đạt được
cũng như xuất phát từ ư tưởng muốn xây
dựng một hệ thống chẩn đoán có tính chính xác
cao hơn nhóm nghiên cứu đă có ư tưởng chế
tạo một thiết bị đo nhiệt độ
mới có nhiều tính năng ưu việt hơn thiết
bị đo cũ đó là máy đo nhiệt độ kinh
lạc 25 kênh có độ chính xác cao ( hay c̣n gọi là Máy đo
kinh lạc). Máy đo kinh lạc là một thiết bị
có khả năng đo nhiệt độ bề mặt da đồng
bộ 25 điểm, được nghiên cứu và chế
tạo bởi kỹ sư Đinh Lai Thịnh và các cán
bộ của Bộ môn Điện tử Tin học – Khoa
Điện Tử Viễn Thông thuộc trường
Đại học Bách Khoa. Máy được dùng kết
hợp với một phần mềm chẩn bệnh
đông y có tên là “Phần chẩn bệnh bằng
phương pháp đo kinh lạc” để đưa ra
các kết quả chẩn đoán về sức khỏe
của người được khám
Để
đáp ứng được tiêu chí kỹ thuật của
máy đo, đầu cảm biến ( sensor)
là một phần quan trọng quyết định đến
chất lượng của máy đo. Các loại
sensor mà nhóm nghiên cứu có thể dùng trong thiết kế là
loại đặc chủng dùng trong kỹ thuật công nghệ
cao để có độ nhạy và thời gian đáp ứng
nhiệt độ nhanh.
. Ta có thể dùng cảm biến nhiệt
độ là LM335 như sau làm ví dụ :

IC
LM335 có 3 chân:
V+: 4=>20V, Vout : tùy vào cách ghép mà có thể đo nhiệt
độ từ -55 đến 180 độ C, cứ +\- 1
độ th́ Vout +\- 10mV và GND
Sau
đây là sơ đồ mạch điện sử
dụng cảm biến đo nhiệt độ LM335 và
mạch điều khiển thực hiện thu
thập giá trị nhiệt độ và gửi lên máy tính.
Trong
mạch điều khiển có sử dụng IC vi điều khiển AT89C51 của hăng Atmel
và IC biến đổi dạng tín hiệu là ADC0809 dùng
để lấy được giá trị của
điện áp tương đương với nhiệt
độ.

H́nh 1 Sơ đồ
mạch cảm biến nhiệt độ dùng LM335
Đây
là phương hiện nay được dùng rất
nhiều ví dụ trong vi điều khiển họ PIC
của hăng Microchip, AVR của hăng Atmel và PSOC của Cypress
đều đă có các khối chuyển đổi
tương tự số ACD (Analog Convert to Digital).
Ví
dụ, đối với vi điều khiển ATmega16 của hăng Atmel, là
họ vi điều khiển AVR 8bit tốc độ cao,
tốn ít năng lượng,
có tích hợp sẵn 8 kênh ADC 10bit.
Cấu trúc vi
điều khiển ATmega16:
Đặc điểm của bộ ADC trên
Atmega16:
·
Độ phân giải
10bit.
·
Sai số đo không
tuyến tính là 0.5 LSB.
·
Độ chính xác tuyêt
đối là ± 2LSB.
·
Thời gian biến
đổi là 13 – 260 uS.
·
Có thể lên tới 76.9
kSPS (Lên tới 15kSPS ở độ phân giải tối
đa.).
·
8 đầu vào kênh
đơn.
·
7 kênh vi
sai.
·
2 kênh vi
sai với hệ số khuyếch đại là 10x và 200x.
·
Lựa chọn
điều chỉnh độ lệch trái cho kết
quả ADC.
·
Dải điện áp
đầu vào cho ADC là từ 0 – Vcc.
·
Có thể lựa
chọn điện áp tham chiếu bên trong 2.56V
.
·
Chế độ
biến đổi đơn hoặc biến đổi
tự do.
·
Có ngắt xảy ra khi
hoàn thành biến đổi ADC.
Hoạt động:
ADC biến đổi một
điện áp tương tự đầu vào thành giá
trị số 10 bit thông qua phương pháp xấp xỉ
liên tiếp. Giá trị thấp nhất là giá trị
đất GND và giá trị cao nhất là điện áp
ở chân AREF (tức chân điện áp tham chiếu)
trừ đi 1 LSB
Kết quả biến
đổi:
Sau khi một biến đổi
hoàn thành , kết quả sẽ
được chứa trong thanh ghi dữ liệu. Với
biến đổi đơn kết quả là:

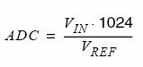
Trong đó: VIN là
điện áp đầu vào và VREF là điện áp
tham chiếu. 0x000 là giá trị đất và
0x3FF là giá trị điện áp tham chiếu trừ đi 1
LSB.
Nếu kênh khuếch đại vi sai được sử dụng th́
kết quả là:

Trong đó: VPOS là
điện áp đầu dương, VNEG là
điện áp đầu âm, GAIN là hệ số khuếch
đại, và VREF là điện áp tham chiếu.
Kết quả có hai dạng: từ 0x200 (-512) đến 0x1FF(+511).
Dưới đây là mạch
đo nhiệt độ hiển thị lên màn h́nh LCD
sử dụng cảm biến nhiệt LM335, trong mạch
sử dụng vi điều khiển Atmega16 của hăng
Atmel, với bộ ADC tích hợp sẵn để
chuyển giá trị điện áp tương
đương với nhiệt độ hiện thời
ra dạng số.

H́nh 3. Sơ đồ
mạch đo nhiệt độ dùng bộ ADC có sẵn
trên vi điều khiển AVR
Phần ghép nối máy tính chúng ta có
thể dùng cổng nối tiếp theo chuẩn RS232
hoặc dùng IC FT245 để kết nối qua cổng USB.
Sơ đồ nguyên lư mạch
giao tiếp máy tính qua cổng RS232 như sau:


Trong
hệ thống có sử dụng phương pháp VCO, đây
là phương pháp biến đổi giá trị
điện áp ra tần số của một dao
động điều ḥa (Voltage convert to Ocsillator), qua
việc đo và xử lư giá trị tần số, ta sẽ
tính được giá trị điện áp, giá trị
điện trở trên cảm biến nhiệt tương
ứng với nhiệt độ cần đo. Để
biến đổi tín hiệu điện áp ra tín hiệu
dao động, ta sử dụng phương pháp dùng IC
tạo dao động 555 như sau:

Ic tạo dao động
XX555, XX là TA hoặc LA.
IC
555 có thể tạo ra xung vuông ở đầu ra OUTPUT, có chu kỳ ổn định.
Hinh
3. Mạch dao động tạo xung bằng IC 555
Vcc
cung cấp cho IC có thể sử dụng từ 4,5V
đến 15V , đường mạch
mầu đỏ là dương nguồn, mạch mầu
đen dưới cùng là âm nguồn.
Tụ 103 (10nF) từ chân 5 xuống mass là cố
định và có thể bỏ qua ( không
lắp cũng được )
Khi
thay đổi các điện trở R1, R2 và giá trị
tụ C1 sẽ thu được dao động có tần
số và độ rộng xung theo ư muốn theo công
thức:
T = 0.7 × (R1 +
2R2) × C1 và f = 1.4 / ( (R1 + 2R2)
× C1 )
Trong
đó:
T
= Thời gian của một chu kỳ
toàn phần tính bằng (s)
Tm:
thời gian điện mức cao
TS : thời gian điện
mức thấp
T = Tm + TS
Tm = 0,7 x ( R1 + R2
) x C1
Ts = 0,7 x R2 x C1

và thời gian có điện
mức thấp Ts
Từ các công
thức trên ta có thể tạo ra một dao động xung
vuông có độ rộng Tm và Ts bất kỳ.
Sau khi đă tạo ra xung có Tm và Ts ta có T = Tm + Ts và f = 1/ T.
Giá trị của
các điện trở và tụ điện sẽ ảnh
hưởng đến tần số của xung ở
đầu ra OUTPUT. Nếu cố
định giá trị các tụ điện và điện
trở R2, ta thấy rằng khi điện trở
R1 tăng sẽ làm giảm tần số f của xung
vuông. Áp dụng mạch này vào trong
phương pháp VCO để biến đổi từ tín
hiệu điện áp trên điện trở R1 ra
tín hiệu dao động dạng xung vuông.
Dưới đây là mạch
đo nhiệt độ sử dụng điện trở
nhiệt, áp dụng phương pháp VCO, trong mạch dùng vi
điều khiển PIC 16F873/876 của hăng Microchip, là vi
điều khiển có 3 bộ định thời Tmer0 (8
bit), Timer1 (16 bit) và Timer2 ( 8 bit), và IC tạo dao động
555
Điện áp trên hai đầu
điện trở nhiệt được đưa vào
555, tín hiệu dao động lấy ở đầu ra
được đưa đến vi điều
khiển để xử lư.Tín hiệu dao động
tạo ra từ 555 có dạng xung vuông, với tần
số ổn định, khi đưa vào vi điều
khiển, ta sẽ dùng bộ Timer để đếm
số xung trong một đơn vị thời gian, từ
đó tính được tần số của tín hiệu,
sẽ suy ra giá trị điện áp, và giá trị
điện trở của điện trở nhiệt.
Đặc điểm của phương pháp này là
đơn giản, đáp ứng nhanh sự thay đổi
của nhiệt độ, có độ chính xác, độ
phân giải cao do tần số của xung dao động
ổn định, và tỉ lệ tuyến tính vào giá
trị điện trở nhiệt, do không sử dụng
các bộ ADC có sẵn, nên không phụ thuộc vào tần
số lấy mẫu của bộ ADC.

Sơ đồ mạch đo nhiệt
độ dùng phương pháp VCO
Chúng ta sẽ dùng phương
pháp VCO để chuyển tín hiệu điện áp của
đầu đo nhiệt độ ra tín hiệu dao
động, và một bộ ghép kênh 25 đầu vào, để
đưa tín hiệu của 25 đầu đo vào vi
điều khiển để xử lư. Bộ
ghép kênh này sẽ được thực hiện bằng
một loại IC CPLD & FPGA của hăng Xilinx. Sau
đây chúng ta sẽ nói qua về công nghệ CPLD & FPGA
CPLD Complex Programmable Logic Devices
– là một thiết bị Logic có thể lập
tŕnh được, bao gồm ba khối chính: khối ma trận các cổng AND
có thể thay đổi cách ghép nối bằng lập
tŕnh, khối các cổng OR nối cố định
sẵn với khối cổng AND (không thay đổi
được kết nối), thứ ba là khối flip –
flops để ghi nhớ trạng thái, với đầu
vào lấy từ đầu ra của khối OR.
Cấu
trúc bên trong của CPLD & FPGA:

Như
chúng ta đă biết, các hàm logic dăy từ đơn
giản đến phức tạp đều có thể
đưa về dạng cớ bản sử dụng hai
cổng logic AND và OR, trên CPLD & FPGA tích hợp thêm phần
tử D flip – flops, như thế sẽ có thể thực
hiện được các hàm logic có nhớ. V́
thế CPLD & FPGA có thể thực hiện
được mọi hàm logic. Ưu điểm
của CPLD & FPGA là có thể lập tŕnh tạo lên
cấu trúc của một phần tử logic (
dùng công nghệ PROM:
Lập tŕnh 1 lần hoặc công
EPROM, flash, EEPROM: lập tŕnh nhiều lần), có
tần số hoạt động rất cao, tiêu thụ
điện áp nhỏ.
Ví dụ loại CPLD CoolRunner-II có đặc điểm:
đ
1.8V,
180 nm
đ
303
MHz
đ
32-512
macrocells
đ
Ultra
Low power
V́ thế
phương pháp dùng CPLD & FPGA xây dựng bộ ghép kênh
tín hiệu của 25 đầu đo là rất hiệu
quả.
Bộ
biến đổi tương tự số thực
hiện công việc biến đổi các đại
lượng tương tự như ḍng điện,
điện áp ...thành các giá trị số tương
ứng. Chúng ta
có các bộ biến đổi thông dụng như ADC0804,
ADC0809

H́nh 2 Mạch biến
đổi tín hiệu và tính toán điều khiển
Cảm
biến ta dùng để đo nhiệt độ sẽ là
một loại điện trở nhiệt có dải thay
đổi từ 3 kΩ cho đến 20 kΩ
tương ứng với nhiệt độ từ 40
độ C trở về 0 độ C.
Và
khối chuyển đổi VCO có sơ
đồ như sau:

Trong đó J5 chính là đầu nối cảm
biến. Chúng ta sẽ có 25
khối như thế này và sẽ được ghép
nối với nhau bằng một IC CPLD & FPGA.
I.4 Thiết kế khối ghép nối
bằng CPLD & FPGA
Khối
này chúng ta sẽ dùng IC XC95108 của hăng Xilinx và cấu h́nh
cho nó có chức năng như sơ
đồ sau đây:

I.5 Thiết kế khối xử lư trung tâm và
hiển thị
Khối
này dùng IC vi điều khiển ATMEGA16
của hăng Atmel. Nó có chức năng nhận
tín hiệu từ CPLD & FPGA và xử lư tính toán sau đó
gửi lên máy tính.
